There is confusion about Optical Bandwidth and Electrical Bandwidth of optical channels and how these terms relate to Optical Reference Receivers (ORRs). PAM4 signaling has further complicated minimum bandwidth requirements in order for receivers to be spec compliant.
Up until recently, both optical and electrical bandwidth produced similar results when using 0.75 x baud rate; however, with the recent IEEE spec change to 0.5 x baud rate, electrical and optical bandwidths are no longer the same, thus causing confusion about the relationship between the two. This paper clarifies these terms by starting with the proper definitions, mathematically showing how they are related, and provides the basis to understand and confidently calculate optical and electrical bandwidth for an optical channel.
Optical bandwidth is defined as the frequency at which half the optical power is incident in the channel. Since power is measured in Watts we use 10*log10(W/Wo) to find the -3dB point. This is referred to as the optical decibel (dBo). In the formula, Wo is the power level in Watts at DC and is used to normalize the frequency response to be 0dB at DC.
For electrical channels where volts are used to measure signal levels, the electrical bandwidth is still defined as the point where half the power is incident (-3dB point). However, the equation changes to 10*log10(V2/Vo2). The voltage is squared because power is proportional to the square of the voltage, and Vo is the voltage at DC.
Using the rules of logarithms, we move the square from the voltage in front of the logarithm:

Optical receivers use what is known as a square law detector. Watts are converted directly into Volts. The conversion gain of the receiver is the ratio of Volts out to Watts in, V = cW, volts (V) equals Watts (W) times the conversion gain of the receiver (c). This equation defines a linear relationship between power and voltage that it is no longer quadratic.
With optical channels, the incident signal on the channel is delivered optically and measured in Watts. The usable signal after the O/E is measured in volts. We can then refer either to the bandwidth of the incident optical signal or to the bandwidth of the electrical signal at the output of the O/E. The bandwidth of the electrical signal out of the receiver is 20*log10(V/Vo), substituting V = cW into this equation we get:

This is the electrical dB (dBe) and is used to define the electrical bandwidth of the module. Remember the formula for the optical decibel (10*log10(W/Wo)) is provided above. The electrical decibel (dBe) is twice the optical decibel (dBo).

This 2x factor (dBe = 2 * dBo) is important below as we translate electrical bandwidth (BW) to optical bandwidth (BW) requirements.
Fourth Order Filters for NRZ Signals
IEEE defines the use of fourth order Bessel filters for scope reference receivers. These filters for NRZ signals are defined to be -3dBe at 0.75 * bit rate. In the example shown in the figure below, a 25Gbps ORR filter is shown. The -3dBe point is at 0.75 * 25 = 18.75 GHz. Note that the -6dBe point is 25.625 GHz (read from freq vs. dB graph below). Because the dBe = 2* dBo, the -6dBe point corresponds to the -3dBo point. For this filter, the -3dBo point occurs at 25.625 GHz, so conveniently the -3dBo point occurs almost exactly at the bit rate. This is true for any fourth order filters defined at 0.75 x bit rate. Therefore, for NRZ signaling we have generally used the term Bandwidth and ORR interchangeably. A 25 GHz optical (-3dBo) bandwidth is roughly the same as a 25Gbps ORR filter given the 0.75 x bit rate relationship.
Re-defined ORR for PAM4 Signals
Recently the 400GB-Ethernet taskforce re-defined the ORR for PAM4 signaling to be 0.5 x baud rate. With this new relationship, we can no longer use optical bandwidth and ORR filter bandwidth interchangeably. Therefore, an optical bandwidth requirement must be calculated.
How to determine optical bandwidth requirements
Here are two examples showing the process:
Example #1 – NRZ
There is no defined ORR filter for 56Gb/s NRZ signaling, but if we carry forward the relationships used for 25Gb/s where -3dBe is defined as 0.75 * bit rate, a proper ORR filter should have its - 3dBo point at 56Gb/s * 0.75 = 42 GHz.
Example #2 – PAM4
53.125Gbaud PAM4 ORR has an electrical bandwidth of 26.56 GHz (53.125 * 0.5) and an optical bandwidth of 35.41 GHz (53.125Gbaud x 0.5 / 0.75). Thus, in the case of PAM4, a proper ORR filter should have its -3dBo point at 35.41 GHz.


Appendix – Additional information on calculations
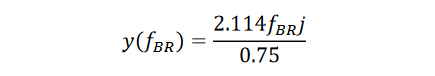
The fourth order filter frequency response is defined in ITU-T G.691 to be

The constants in the numerator are the coefficients from a 4th order Bessel polynomial and y is a function of the frequency.

Here 2.114 is a used to adjust the response and the value 0.75 determines the point at which the filter is at half the power, 0.75 𝑓𝑓𝐵𝐵𝐵𝐵. For the new 400GB Ethernet standard the 0.75 would be replaced by 0.5. The normalized frequency has been used which is defined to be the frequency divided by the baud rate

