
Contact us
Call us at
Available 6:00 AM – 5:00 PM (PST) Business Days
Download
Download Manuals, Datasheets, Software and more:
Feedback
DPO7OE Series Optical Probes
DPO7OE1 and DPO7OE2
More Information
- Optical Probes - High Bandwidth
- Product Support
- Explore more Software models
Read Online:



The DPO7OE Series Optical probes can be used as Optical Reference Receivers (ORR) for high speed serial data signals (using selectable Bessel-Thomson ORR filters), or can be used as a conventional O/E converter for general wide-bandwidth optical signal acquisition. The DPO7OE Series is compatible with DPO/MSO70000 C/DX/SX models. Connect to TekConnect channels for up to 33 GHz electrical bandwidth. Connected to ATI channels, the DPO7OE1 provides up to 42 GHz electrical response; the DPO7OE2 provides up to 59 GHz electrical bandwidth response.
Features and benefits
- Accurate Optical Reference Receiver (ORR) filters for 25 GBd, 26 GBd, 28 GBd, and 53 GBd optical networking standards ensure highest measurement accuracy and correlation
- Versatile design delivers Bessel-Thompson ORR specified bandwidths or unfiltered response up to 59 GHz on multiple channels
- Broad wavelength with FC/PC or FC/APC connector options
- High sensitivity and low noise provide best SNR for high-speed signal analysis
- Enables deep analysis of PAM4 and PAM2 (NRZ) signaling, equalization and error detection/isolation
- Compatible with ATI and TekConnect® channels for maximum performance or channel density
Applications
- Datacenter networking equipment design validation
- Research - Characterization of laser-based velocity measurement system (e.g. PDV, BLR) and other optical phenomena
- System debug of optical interfaces using a real time oscilloscope's unique debug features
Optical reference receiver performance
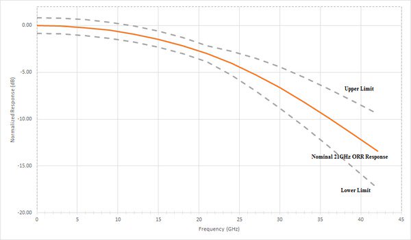
Achieving Optical Reference Receiver (ORR) response requires sufficient instrument bandwidth to ensure smooth frequency roll-off characteristics beyond the data rate. For design of Datacenter Networking equipment, an ORR with a fourth-order Bessel-Thomson (BT4) frequency response is generally used. For NRZ (PAM2), the reference receiver's −3 dB electrical bandwidth is set to a frequency of 75% of the optical symbol rate and its bandwidth limit guard bands are specified to a frequency of 150% of the optical symbol rate. Using these values for a 28 GBd optical signal yields the following frequency response requirements:
| Optical reference receiver attenuation | Frequency |
| -3 dB | 0.75 * 28 G = 21 GHz |
| Nominal: -13.4 dB Range: -9.4 to -17.4 dB | 1.50 * 28 G = 42 GHz |
For PAM4 signals the BT4 filter is tuned lower. The electrical bandwidth is set to a frequency corresponding to 50% of the symbol rate. The ORR BT4 filters for the important symbol rates of PAM4 standards, such as 53.152 GBd and 26.5625 GBd, are also available in the DPO7OE Series.
Acquiring signals on a high-bandwidth ATI channel maintains linear phase across the passband of the channel. This makes it possible to enable true optical reference receiver (ORR) quality filters for baud rates up to 28 Gbd on the DPO7OE1, which requires a controlled electrical response up to 42 GHz, and PAM4 baud rates up to 53 GBps on the DPO7OE2. The graph below shows a typical frequency response of the DPO7OE1 on a DPO77002SX real-time oscilloscope.

Fourth order Bessel-Thompson frequency response of the DPO7OE1 Optical Probe and DPO70000SX ATI channel
The smooth, controlled system response with the DPO7OE Series and DPO70000SX oscilloscope is possible because the oscilloscope's system software calculates the BT4 filters using the S-parameters unique to the optical probe and the oscilloscope channel. Most real-time oscilloscopes today have a rather sharp roll-off (e.g. "brick wall") at or just above the rated channel bandwidth. This response limits the ability to replicate a true BT4 response, which has a much more gradual roll-off characteristic. Without a true BT4 response, the signal's eye opening will be reduced, adversely impacting the accuracy of the measurement.
Optical signal analysis
The DPO7OE Series optical probe enables deep analysis of PAM4-O and PAM2 (NRZ) signaling using Tektronix' industry leading DPOJET Jitter and Eye Analysis and PAM4 Analysis software.
DPOJET supports the traditional optical measurements. These measurements include extinction ratio, eye high, eye low, eye crossing, and optical modulation amplitude.
Industry-leading PAM4 signaling analysis
The PAM4-O software supports analysis of PAM4 optical signals with clock recovery, error detection, and IEEE and OIF-CEI standard specific measurements, e.g. TDECQ.

PAM4 Analysis Software with Eye Diagram and Example measurement Results
Versatile configurations
The versatile design of the DPO7OE Series optical probe is compatible with either a DPO70000SX oscilloscope's ATI channel or channels with the TekConnect interface. This versatility makes the DPO7OE Series optical probe suitable for use with all DPO70000SX, MSO/DPO70000DX, and MSO/DPO70000C series oscilloscopes.

Optical Reference Receiver with controlled response up to 59 GHz on a DPO70000SX oscilloscope''s ATI channel

DPO70000SX models support up to 4 optical inputs with 33 GHz maximum bandwidth

DPO7OE series probes are compatible with MSO/DPO70000DX models
Specifications
All specifications are guaranteed unless noted otherwise. All specifications apply to all models unless noted otherwise.1
1Unless otherwise specified, all optical specifications tested at 1310 nm and 1550 nm. Also tested at 850 nm for the DPO7OE1.
Nominal characteristics
- Electrical bandwidth (-3 dB) 1
- DPO7OE1: 33 GHz
DPO7OE2: 59 GHz
- 4th order Bessel Thomson filters2
- User specified
- Coupling
- DC
- Wavelength range (Opt. FC/PC)
- DPO7OE1: 750 nm to 1650 nm
DPO7OE1: 850 nm, 1310 nm, 1550 nm (calibrated)3
DPO7OE2: 1200 nm to 1650 nm
DPO7OE2: 1310 nm, 1550 nm (calibrated)3
- Wavelength range (Opt. FC/APC)
1310 nm, 1550 nm (calibrated)3
DPO7OE1: 1260 nm to 1650 nm
DPO7OE2: 1200 nm to 1650 nm
- Optical connector types
- Opt. FC/PC
- FC/PC (FC is determined by the changeable JAE connector)
- Opt. FC/APC
- FC/APC
- Input fiber core diameter (maximum)
Probe Option Specification DPO7OE1 FC/PC 50 μm (SMF and MMF compatible) FC/APC 9 μm (SMF compatible) DPO7OE2 FC/PC 9 μm (SMF compatible) FC/APC - Oscilloscope interfaces
- ATI (1.85 mm RF connector), TekConnect
1With DSP.
2Filters are optical reference receiver compliant below 22 GHz electrical bandwidth for DPO7OE1, and 29.5 GHz electrical bandwidth for DPO7OE2.
3The DPO7OE Series supports a calibrated amplitude response at custom wavelengths after a user calibration procedure is run.
Optical characteristics
- Rise time (10% to 90%)1
- DPO7OE1: 10.2 ps, typical
DPO7OE2: 7.5 ps, typical
- Maximum input power (linear response)
- DPO7OE1: 4 mW, typical
DPO7OE2: 2 mW, typical
- Maximum non-destruct input signal
- DPO7OE1: 8 mW, typical
DPO7OE2: 4 mW, typical
- Input return loss
- DPO7OE1: >19 dB, typical
DPO7OE2: >27 dB, typical
- Aberrations
- 3% pk-pk (for ORR filters only), typical
- Output zero (dark level) (for filters >25 GHz bandwidth)
- ± (10 µW + 4% * | vertical offset |), 1310 nm and 1550 nm
± (12 µW + 4% * | vertical offset |), 850 nm (DPO7OE1 only)
- Polarization dependence
DPO70E1 (1310 nm and 1550 nm inputs): ± 0.3 dB maximum
DPO70E2 (1310 nm and 1550 nm inputs): ± 0.2 dB maximum
- DC vertical accuracy
- ± (25 µW + [(0.04 + Connector Uncertainty) * [(vertical reading) - (vertical offset)]]), typical
- DPO70E1: Optical noise, RMS
850 nm
Filter TekConnect ATI Typical (µW) Max (µW) Typical (µW) Max (µW) Unfiltered O/E response 13.51 17.62 17.92 19.40 Flat to max 20.05 27.90 35.66 38.40 User 12.6 GHz (for 16.8 GBd NRZ) 12.09 15.64 11.61 16.35 User 21.0375 GHz (for 28.05 GBd NRZ) 12.94 18.40 13.66 19.30 - DPO70E2: Optical noise, RMS
1310 nm
Filter TekConnect ATI Typical (µW) Max (µW) Typical (µW) Max (µW) Unfiltered O/E response 11.8 13.8 16.8 18.8 Flat to max 11.8 13.8 16.8 18.8 User 12.6 GHz (for 16.8 GBd NRZ) 8.3 10.3 8.3 10.3 User 29.5 GHz NA NA 12.5 15.3
1With flat to max filter on ATI channel.
Compatibility
- Compatible Tektronix oscilloscopes
- DPO70000SX, DSA/DPO70000D, MSO/DPO70000DX, MSO/DSA/DPO70000C
Temperature
- Temperature
- Operating
10 °C to +40 °C
- Non-operating
-22 °C to +60 °C
Ordering information
Models
- DPO7OE1
- 33 GHz bandwidth, single/multi-mode, 750 nm to 1650 nm, optical probe for MSO/DPO70000 Real Time Oscilloscopes
- DPO7OE2
- 59 GHz bandwidth, single-mode 1200 nm to 1650 nm, optical probe for MSO/DPO70000 Real Time Oscilloscopes
Standard accessories
Hard case, Instruction manual, Certificate of Traceable Calibration, One year warranty, Optical fiber cleaning tool, ATI input support accessory

Recommended oscilloscope application software
- PAM4-O
- Optical Measurements for PAM4
- DJA
- DPOJET Jitter and Eye Diagram Analysis with Optical Measurements
- DJAN
- DPOJET Jitter and Eye Diagram Analysis with Vertical Noise Separation
- SDLA
- Serial Data Link Analysis
Recommended accessories
- 006-8327-xx
- Optical connector cleaner
Options
Product options
Note: Select an optical input connector type from the following mandatory, mutually exclusive options.
- FC/APC
- FC/APC optical input connector (typically used in research applications)
- FC/PC
- FC/PC optical input connector (typically used in networking/data center network applications)
Service options
- Opt. C3
- Calibration Service 3 Years
- Opt. C5
- Calibration Service 5 Years
- Opt. D3
- Calibration Data Report 3 Years (with Opt. C3)
- Opt. D5
- Calibration Data Report 5 Years (with Opt. C5)
- Opt. G3
- Complete Care 3 Years (includes loaner, scheduled calibration, and more)
- Opt. G5
- Complete Care 5 Years (includes loaner, scheduled calibration, and more)
- Opt. R3
- Repair Service 3 Years (including warranty)
- Opt. R5
- Repair Service 5 Years (including warranty)
Probes and accessories are not covered by the oscilloscope warranty and service offerings.


